23 [PDF] C CODE FOR MULTIPLICATIVE INVERSE FREE PRINTABLE DOWNLOAD ZIP
[PDF] C CODE FOR MULTIPLICATIVE INVERSE FREE PRINTABLE DOWNLOAD ZIP
Halo, thank you for visiting this website to find c code for multiplicative inverse. I really hope the data that appears may be useful to you

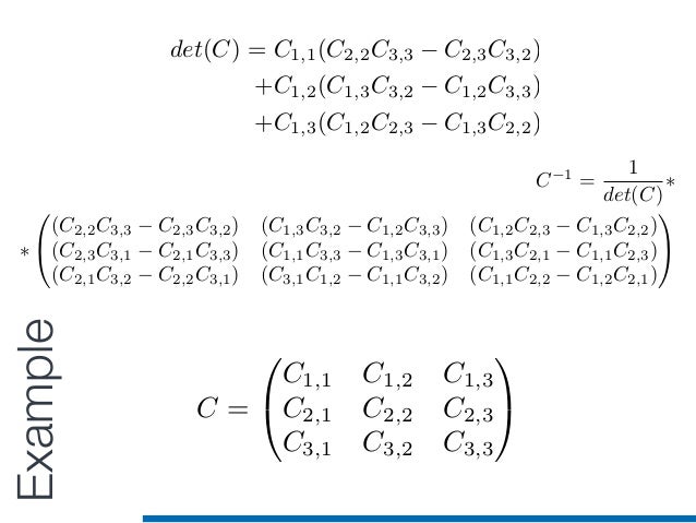
images of for code c multiplicative inverse Hill Cipher Decryption high quality jpeg wallpaper download

images of multiplicative c inverse code for LearnZillion high quality jpeg wallpaper download

images of for c multiplicative code inverse Python in Number Crunching high quality jpeg wallpaper download

images of for code inverse c multiplicative Identity using expressions the equivalent Write Additive high quality jpeg wallpaper download
Decryption Hill Cipher , LearnZillion , Number Crunching in Python , Write equivalent expressions using the Additive Identity ,
Halo, thank you for visiting this website to find c code for multiplicative inverse. I really hope the data that appears may be useful to you
images of for code c multiplicative inverse Hill Cipher Decryption high quality jpeg wallpaper download
images of multiplicative c inverse code for LearnZillion high quality jpeg wallpaper download

images of for c multiplicative code inverse Python in Number Crunching high quality jpeg wallpaper download
images of for code inverse c multiplicative Identity using expressions the equivalent Write Additive high quality jpeg wallpaper download
Belum ada Komentar untuk "23 [PDF] C CODE FOR MULTIPLICATIVE INVERSE FREE PRINTABLE DOWNLOAD ZIP"
Posting Komentar